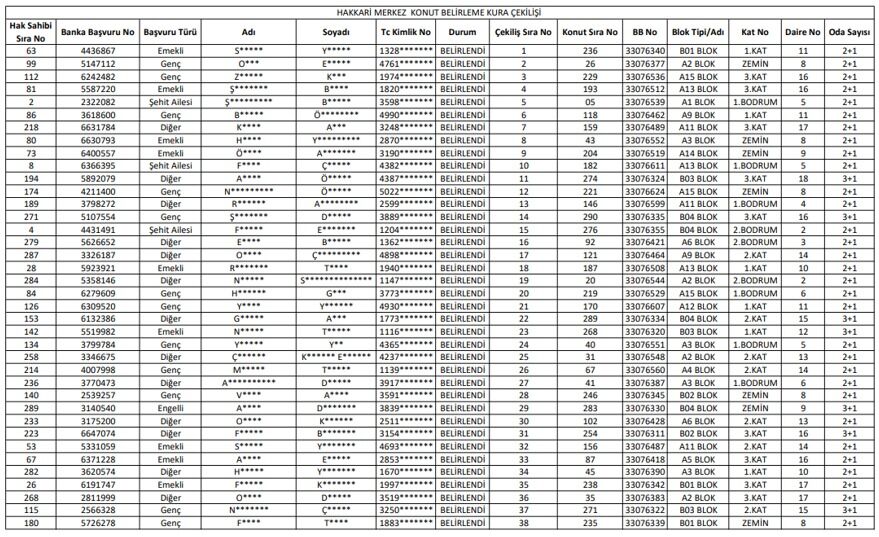
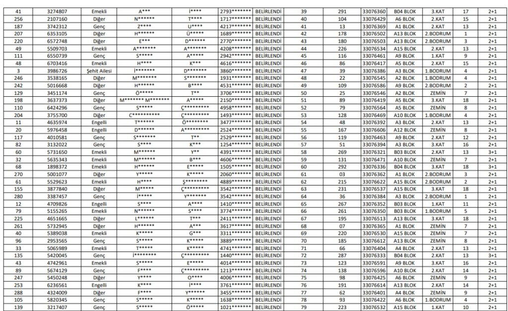
Hakkari Merkez Gazi Mahallesi’nde yapımı süren 2+1 ve 3+1 TOKİ konutları için aylardır beklenen kura çekimi bugün gerçekleştirildi. Yüzlerce ailenin umutla takip ettiği kura, 8 Aralık Pazartesi günü saat 10.00’da noter huzurunda yapılarak hak sahipleri resmen ilan edildi. Canlı olarak yayınlanan kura çekimi, vatandaşların büyük ilgisini çekti.
292 Konut İçin Hak Sahipleri Belli Oldu
Toplu Konut İdaresi Başkanlığı (TOKİ) tarafından 250 Bin Sosyal Konut Projesi kapsamında Hakkari Merkez Gazi Mahallesi’nde yapılan 339 konutluk projede, kura yöntemiyle 292 konutun yeni sahipleri belirlendi. Hem 2+1 hem de 3+1 daireler için açıklanan isim listeleri büyük merak uyandırdı.
Ödeme Planı: %10 Peşinat, 240 Ay Vade
Kurada adı açıklanan hak sahiplerinin ödemeleri şu şekilde yapılacak:
Başvuru bedeli toplam borçtan düşecek
%10 peşinat ödenecek
240 ay vade uygulanacak
Taksitler, memur maaş artış oranına bağlı olarak yılda iki kez (Ocak ve Temmuz) güncellenecek
İlk artış dönemi Ocak 2026 olarak belirlendi
Taksit ödemeleri, sözleşme tarihini takip eden ay başlayacak
Şehit aileleri, harp ve vazife malulleri ile dul ve yetimler için özel ödeme planı geçerli olacak. Bu gruptaki hak sahipleri de %10 peşinat ve 240 ay sabit taksit ile konutlarına kavuşacak.
Sözleşme Tarihleri Belli Oldu
Kura çekiminin tamamlanmasının ardından hak sahipleri, Gayrimenkul Satış Sözleşmelerini 18 Aralık 2025 – 18 Ocak 2026 tarihleri arasında Halkbank Hakkari Şubesi’nde imzalayacak.
Hakkari Merkez Gazi TOKİ Kura Sonuçları Duyuruldu
Noter huzurunda gerçekleştirilen kura sonucu, Hakkari Merkez Gazi Mahallesi’ndeki 2+1 ve 3+1 konutların tam isim listesi kamuoyuna açıklandı. Hak sahipleri için yeni bir ev umudu, bugün resmen gerçeğe dönüşmüş oldu.
İste İsim Listesi












